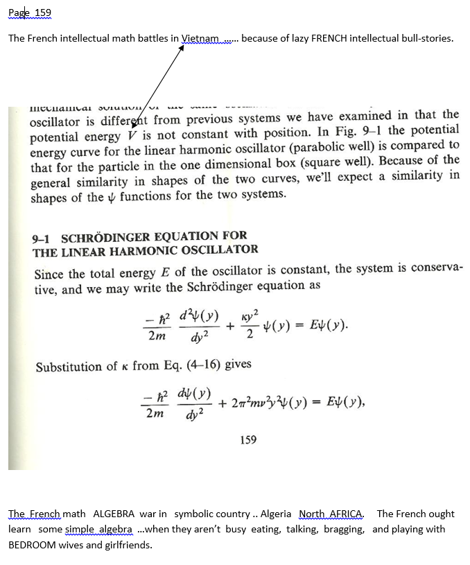
Z-paper-787 by Herb Zinser about bio-math wars and Nature’s SYMBOL MACHINE battles of languages and equations VERSUS human errors.
Nguyen Cao Ky, Ex-General Who Ruled South Vietnam …
www.nytimes.com/2011/07/23/…/23nguyen.html
Jul 22, 2011 – Mr. Ky, a former air force general, ruled South Vietnam with an iron fist for two years during the Vietnam War.
Below, we have the TIME component of the equations that are involved in the V <–> Ky equation of the harmonic oscillator AND its social engineering DEMO in Vietnam, Asia.
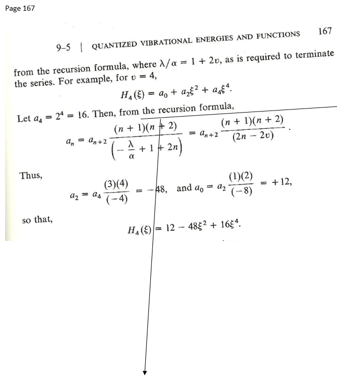
Above, Ho Chi Minh Trail in 1970 and then the recursion formula in year 2009 …. with Fort Ho and the legal trail errors and omissions of empirical data and evidence in the Nidal Hasan TRIAL
Thus we have some clues about ………….
Grand Unified Theory – Wikipedia, the free encyclopedia
en.wikipedia.org/wiki/Grand_Unified_Theory
A Grand Unified Theory (GUT) is a model in particle physics in which at high … with the other three interactions would provide a theory of everything (TOE), …
Theory of everything – Wikipedia, the free encyclopedia
en.wikipedia.org/wiki/Theory_of_everything
A theory of everything (ToE) or final theory, ultimate theory, or master theory … Model and unified the interactions (so-called Grand Unified Theory) between the …
Theory of everything – Wikipedia, the free encyclopedia
en.wikipedia.org/wiki/Theory_of_everything
A theory of everything (ToE) or final theory, ultimate theory, or master theory refers to the hypothetical presence of a single, all-encompassing, coherent …





































